近日,城环学院2021级自然地理学硕士研究生林晓雯以第一作者身份撰写的论文 “The Effects of Water Depth on the Growth of Two Emergent Plants in an In-Situ Experiment”在SCI期刊Sustainability(IF:3.889,Q2)发表。该文通讯作者为吴晓东博士,三亿体育app为唯一单位。共同作者包括葛绪广副教授,2021级自然地理学硕士研究生高珍妮,2020级地理科学专业本科生熊佳乐、谭灵骁和魏宏旭。这是城环学院硕士研究生首次在SCI期刊发表论文。
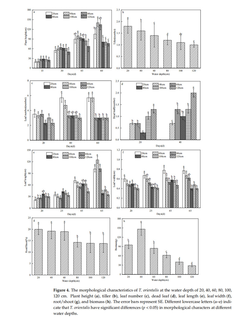
该文采用盆栽试验方法,研究了富营养化湖泊滆湖不同水深条件对茭草和香蒲两种挺水植物生长和光合荧光特性的影响,以期为挺水植物的重建提供科学依据。研究结果表明,挺水植物的生长对水深有一定的适应范围,茭草和香蒲适宜水深范围为20-60cm,长时间高水位,不利于其生长。
城环学院历来重视硕士研究生的培养,依托学院科研平台和导师科研项目,着力培养研究生科研创新能力。该文的发表标志着城环学院硕士研究生的培养质量得到进一步提升。
原文链接:https://www.mdpi.com/2071-1050/14/18/11309




